Foderværdien og kvalitetsanalyser
Her vises den gennemsnitlige foderværdi for forskellige slæt for høståret 2025.
Et slæt er med i tabellen, når der er minimum 20 prøver af det pågældende slæt.
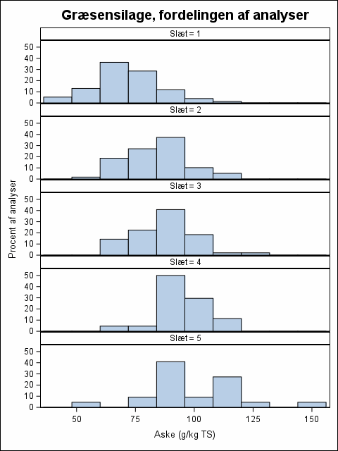
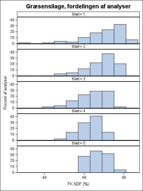
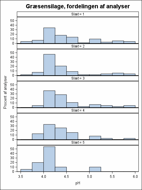
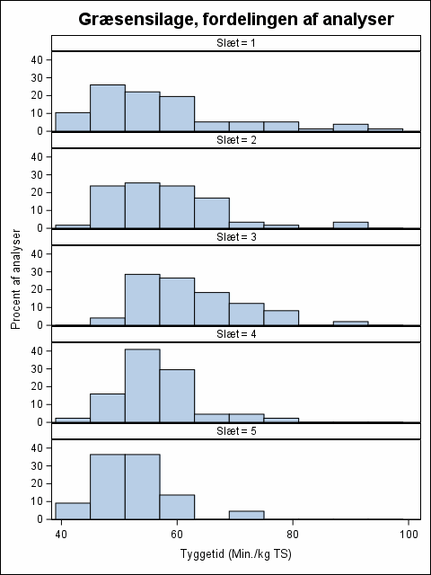
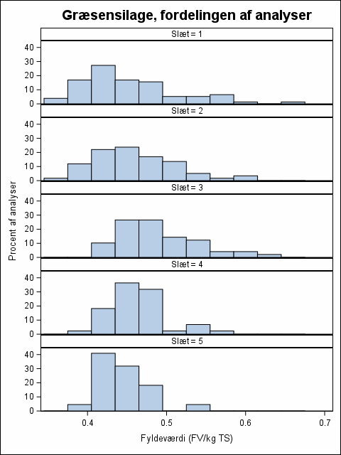
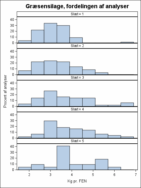
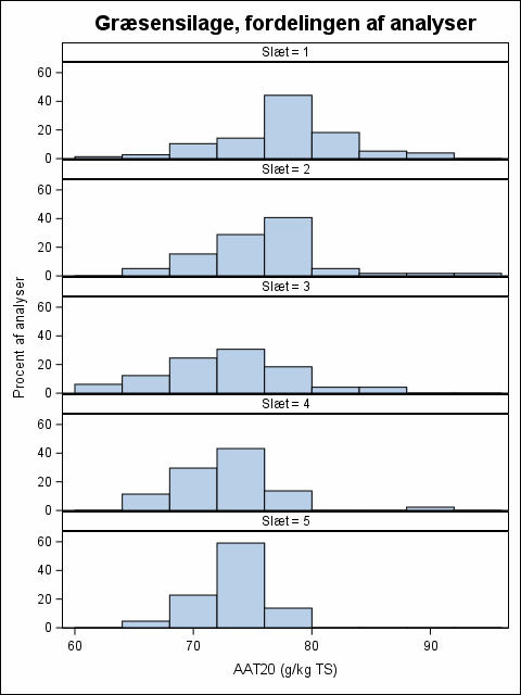
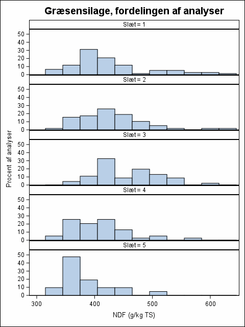
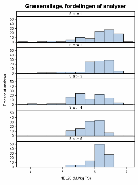
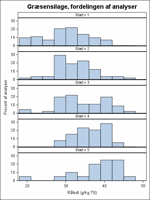
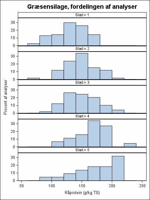
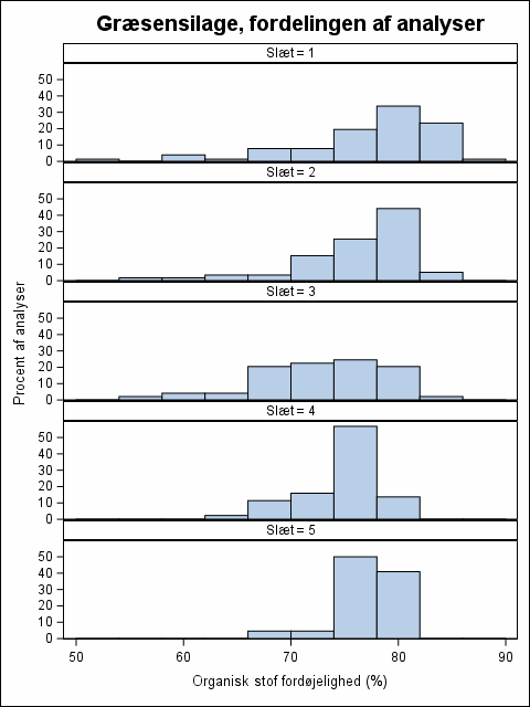
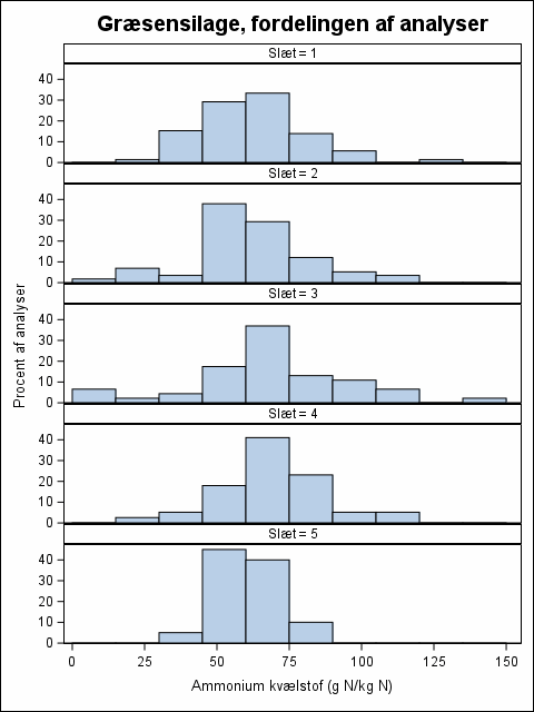
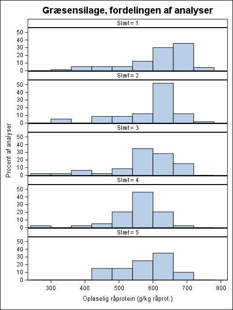
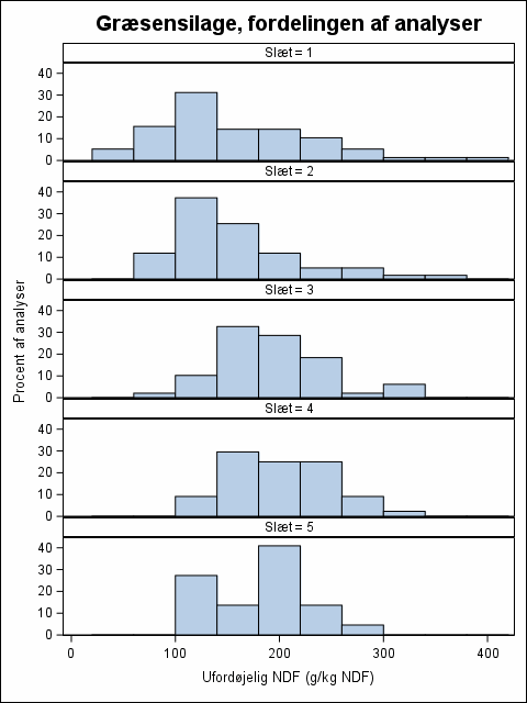
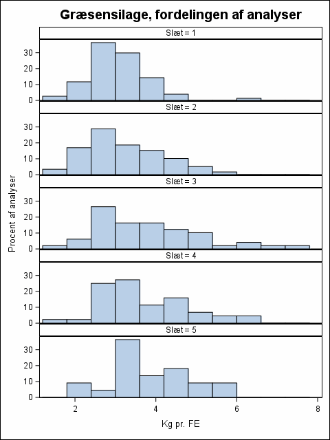
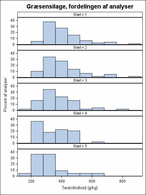
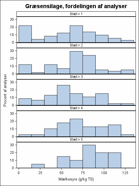
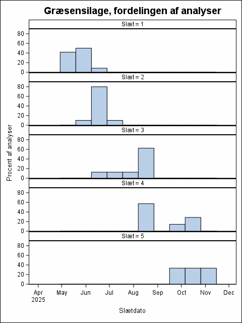
Hvis du klikker på den første kolonne i tabellen, kommer du ind og ser en figur, der viser en sammenligning mellem de forskellige slæt. I figurerne er også vist udviklingen i 2024 og 2023 til sammenligning. Hvis du klikker på den anden kolonne, kommer du ind og ser en figur, der sammenligner fordelingen af de forskellige næringstoffer i de forskellige slæt
|
Slæt |
Første |
Anden |
Tredje |
Fjerde |
Femte |
| Antal prøver | 88 | 66 | 52 | 56 | 33 |
| Slætdato | 21/05 | 23/06 | 30/07 | 08/09 | 17/10 |
| Tørstofindhold (g/kg) | 419 | 414 | 378 | 357 | 314 |
| Aske (g/kg TS) | 70 | 82 | 88 | 95 | 105 |
| Organisk stof fordøjelighed (%) | 76,7 | 76,1 | 72,9 | 74,9 | 76,6 |
| Råprotein (g/kg TS) | 131 | 146 | 149 | 166 | 176 |
| Opløselig råprotein (g/kg råprot.) | 611 | 585 | 564 | 558 | 582 |
| Ammonium kvælstof (g N/kg N) | 66 | 63 | 69 | 69 | 66 |
| Råfedt (g/kg TS) | 29 | 32 | 34 | 37 | 38 |
| NDF (g/kg TS) | 430 | 433 | 453 | 404 | 380 |
| FK NDF (%) | 69,4 | 68,5 | 63,9 | 64,0 | 66,5 |
| Ufordøjelig NDF (g/kg NDF) | 164 | 162 | 195 | 194 | 178 |
| Sukker (g/kg TS) | 103 | 70 | 47 | 37 | 34 |
| pH | 4,5 | 4,4 | 4,4 | 4,4 | 4,2 |
| Nitrat (g/kg tørstof) | 1,0 | 1,8 | 1,1 | 0,8 | 2,1 |
| Mælkesyre (g/kg TS) | 56 | 62 | 61 | 73 | 84 |
| Eddikesyre (g/kg TS) | 13 | 14 | 16 | 16 | 19 |
| Tyggetid (Min./kg TS) | 58 | 59 | 63 | 56 | 52 |
| Fyldeværdi (FV/kg TS) | 0,46 | 0,46 | 0,49 | 0,46 | 0,44 |
| AAT20 (g/kg TS) | 77 | 76 | 73 | 73 | 72 |
| PBV20 (g/kg TS) | 3 | 17 | 25 | 39 | 49 |
| NEL20 (MJ/kg TS) | 6,05 | 6,02 | 5,76 | 5,92 | 6,07 |
| Kg tørstof pr. FEN | 1,24 | 1,24 | 1,30 | 1,26 | 1,23 |
| Kg pr. FEN | 3,15 | 3,26 | 3,80 | 3,75 | 4,22 |
| Tidligere fodervurderingssystem | |||||
| Kg tørstof pr. FE | 1,20 | 1,21 | 1,30 | 1,21 | 1,17 |
| Kg pr. FE | 3,02 | 3,16 | 3,79 | 3,60 | 4,01 |
| Fordøjelig råprotein (g/FE) | 107 | 125 | 137 | 148 | 154 |
Mineralindhold
Her vises den gennemsnitlige mineralindholdet for forskellige slæt for høståret 2025.
Et slæt er med i tabellen, når der er minimum 20 prøver af det pågældende slæt.
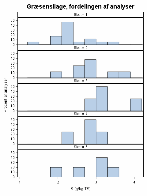
Hvis du klikker på den første kolonne i tabellen, kommer du ind og ser en figur, der viser en sammenligning mellem de forskellige slæt. I figurerne er også vist udviklingen i 2024 og 2023 til sammenligning. Hvis du klikker på den anden kolonne, kommer du ind og ser en figur, der sammenligner fordelingen af de forskellige næringstoffer i de forskellige slæt
|
Slæt |
Første |
Anden |
Tredje |
Fjerde |
Femte |
| Antal prøver med mineraler | 88 | 66 | 52 | 56 | 33 |
| Ca (g/kg TS) | 6,1 | 6,6 | 7,4 | 8,5 | 7,7 |
| P (g/kg TS) | 3,0 | 3,6 | 4,1 | 3,5 | 3,7 |
| Mg (g/kg TS) | 1,7 | 2,2 | 2,5 | 2,8 | 2,5 |
| K (g/kg TS) | 24,6 | 26,2 | 30,7 | 26,9 | 27,4 |
| Na (g/kg TS) | 3,0 | 3,4 | 2,9 | 3,1 | 2,5 |
| S (g/kg TS) | 2,3 | 2,8 | 3,2 | 3,0 | 2,9 |
| CAB meq/kg TS | 394 | 357 | 321 | 251 | 291 |
| Fe (mg/kg TS) | 132 | 176 | 205 | 181 | 305 |
| Mn (mg/kg TS) | 53 | 83 | 73 | 108 | 80 |
| Zn (mg/kg TS) | 30 | 49 | 31 | 34 | 33 |
| Cu (mg/kg TS) | 4,36 | 5,91 | 5,78 | 7,45 | 5,90 |
Gå tilbage til:
Oversigten over alle ensilagetyper
Oversigten over alle græsmarksafgrøder samt sammenligning mellem slæt