Foderværdien og kvalitetsanalyser
Her vises den gennemsnitlige foderværdi for forskellige slæt for høståret 2025.
Et slæt er med i tabellen, når der er minimum 20 prøver af det pågældende slæt.
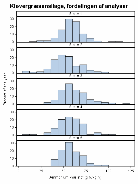
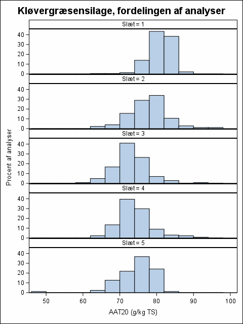
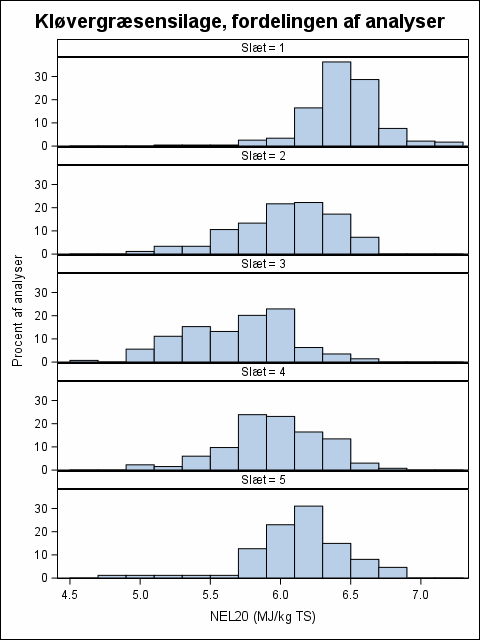
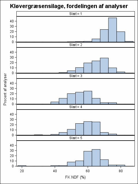
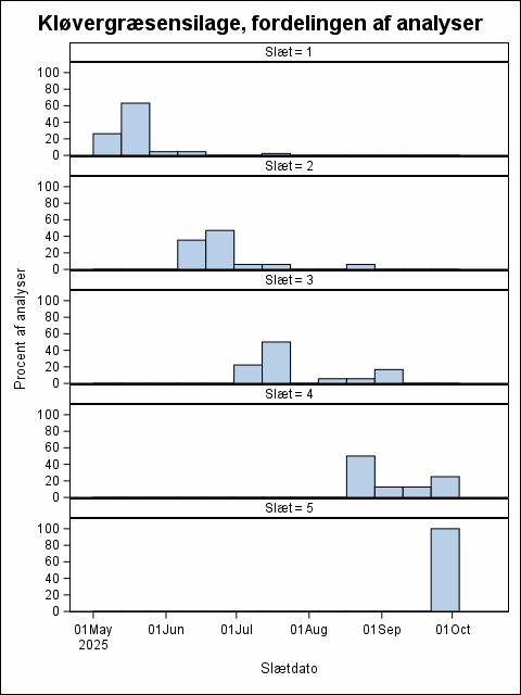
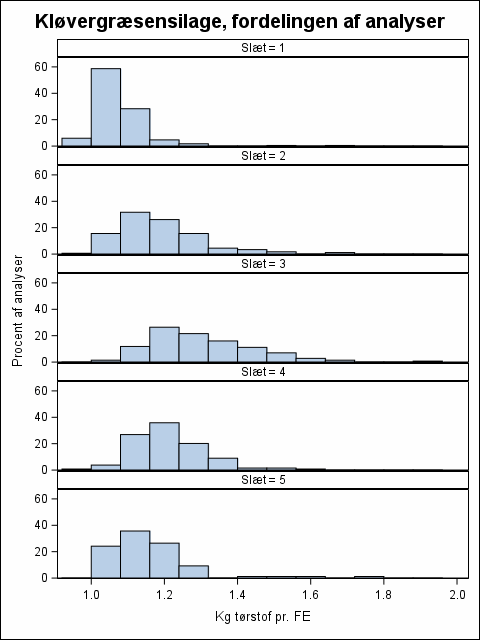
Hvis du klikker på den første kolonne i tabellen, kommer du ind og ser en figur, der viser en sammenligning mellem de forskellige slæt. I figurerne er også vist udviklingen i 2024 og 2023 til sammenligning. Hvis du klikker på den anden kolonne, kommer du ind og ser en figur, der sammenligner fordelingen af de forskellige næringstoffer i de forskellige slæt
|
Slæt |
Første |
Anden |
Tredje |
Fjerde |
Femte |
| Antal prøver | 248 | 189 | 153 | 142 | 102 |
| Slætdato | 18/05 | 24/06 | 27/07 | 04/09 | 21/10 |
| Tørstofindhold (g/kg) | 399 | 409 | 372 | 348 | 331 |
| Aske (g/kg TS) | 71 | 82 | 91 | 99 | 110 |
| Organisk stof fordøjelighed (%) | 80,9 | 75,9 | 71,3 | 74,0 | 75,7 |
| Råprotein (g/kg TS) | 130 | 148 | 169 | 180 | 196 |
| Opløselig råprotein (g/kg råprot.) | 641 | 559 | 511 | 503 | 535 |
| Ammonium kvælstof (g N/kg N) | 59 | 52 | 62 | 58 | 60 |
| Råfedt (g/kg TS) | 29 | 31 | 34 | 37 | 40 |
| NDF (g/kg TS) | 371 | 399 | 401 | 366 | 346 |
| FK NDF (%) | 73,6 | 64,9 | 55,6 | 58,2 | 61,2 |
| Ufordøjelig NDF (g/kg NDF) | 127 | 186 | 250 | 242 | 228 |
| Sukker (g/kg TS) | 142 | 89 | 41 | 33 | 27 |
| pH | 4,3 | 4,4 | 4,4 | 4,3 | 4,3 |
| Mælkesyre (g/kg TS) | 60 | 56 | 64 | 79 | 82 |
| Eddikesyre (g/kg TS) | 14 | 14 | 19 | 18 | 18 |
| Tyggetid (Min./kg TS) | 49 | 55 | 58 | 52 | 49 |
| Fyldeværdi (FV/kg TS) | 0,41 | 0,44 | 0,47 | 0,44 | 0,42 |
| AAT20 (g/kg TS) | 81 | 78 | 73 | 74 | 74 |
| PBV20 (g/kg TS) | 0 | 22 | 49 | 57 | 71 |
| NEL20 (MJ/kg TS) | 6,42 | 6,03 | 5,70 | 5,94 | 6,09 |
| Kg tørstof pr. FEN | 1,16 | 1,24 | 1,31 | 1,25 | 1,22 |
| Kg pr. FEN | 3,00 | 3,21 | 3,74 | 3,83 | 3,91 |
| Tidligere fodervurderingssystem | |||||
| Kg tørstof pr. FE | 1,08 | 1,19 | 1,30 | 1,21 | 1,17 |
| Kg pr. FE | 2,79 | 3,09 | 3,72 | 3,71 | 3,75 |
| Fordøjelig råprotein (g/FE) | 97 | 127 | 164 | 166 | 177 |
Mineralindhold
Her vises den gennemsnitlige mineralindholdet for forskellige slæt for høståret 2025.
Et slæt er med i tabellen, når der er minimum 20 prøver af det pågældende slæt.
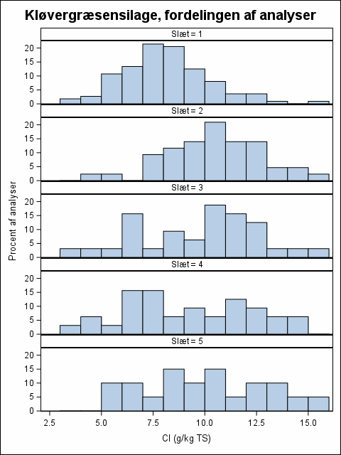
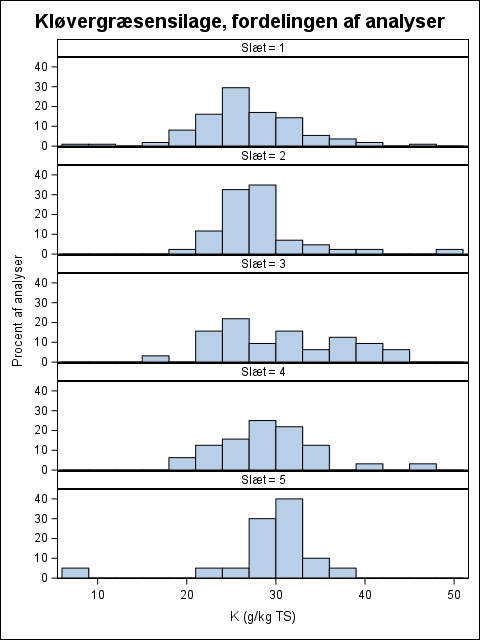
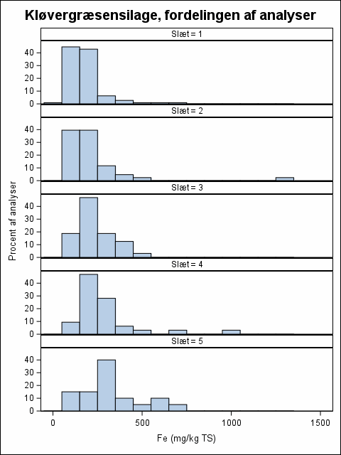
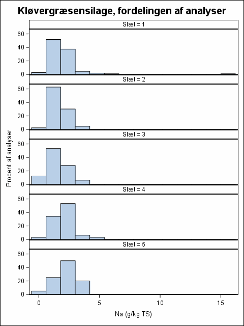
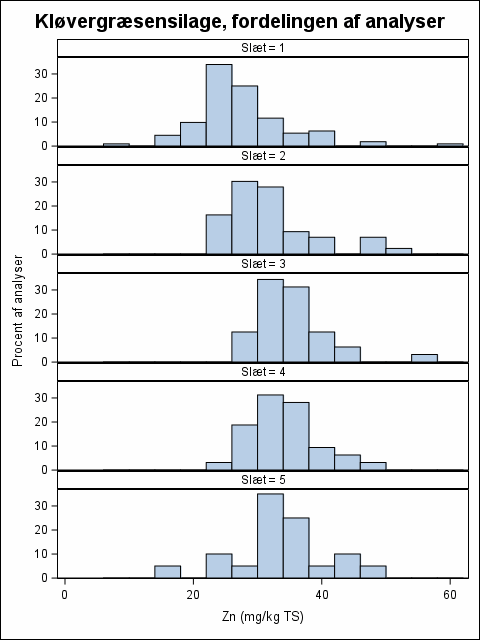
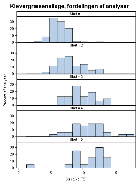
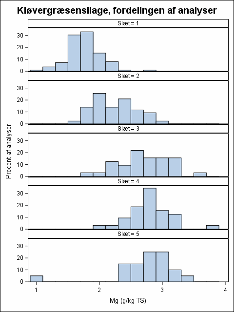
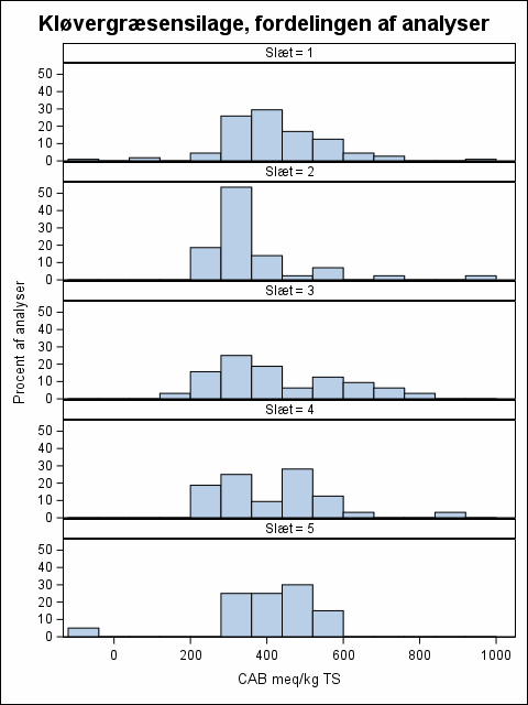
Hvis du klikker på den første kolonne i tabellen, kommer du ind og ser en figur, der viser en sammenligning mellem de forskellige slæt. I figurerne er også vist udviklingen i 2024 og 2023 til sammenligning. Hvis du klikker på den anden kolonne, kommer du ind og ser en figur, der sammenligner fordelingen af de forskellige næringstoffer i de forskellige slæt
|
Slæt |
Første |
Anden |
Tredje |
Fjerde |
Femte |
| Antal prøver med mineraler | 248 | 189 | 153 | 142 | 102 |
| Ca (g/kg TS) | 6,2 | 8,0 | 9,8 | 10,7 | 10,3 |
| P (g/kg TS) | 3,0 | 3,5 | 3,8 | 3,7 | 3,9 |
| Mg (g/kg TS) | 1,7 | 2,2 | 2,6 | 2,7 | 2,7 |
| K (g/kg TS) | 26,4 | 27,7 | 30,6 | 28,5 | 28,9 |
| Na (g/kg TS) | 2,0 | 1,6 | 1,6 | 1,9 | 2,3 |
| Cl (g/kg TS) | 8,1 | 10,3 | 9,9 | 9,1 | 10,2 |
| S (g/kg TS) | 1,7 | 2,1 | 2,3 | 2,3 | 2,5 |
| CAB meq/kg TS | 422 | 360 | 426 | 413 | 395 |
| Fe (mg/kg TS) | 176 | 208 | 228 | 271 | 349 |
| Mn (mg/kg TS) | 54 | 67 | 69 | 68 | 70 |
| Zn (mg/kg TS) | 27 | 31 | 35 | 34 | 33 |
| Cu (mg/kg TS) | 5,07 | 5,33 | 6,89 | 7,62 | 7,84 |
Gå tilbage til:
Oversigten over alle ensilagetyper
Oversigten over alle græsmarksafgrøder samt sammenligning mellem slæt