Opdateret: 04. december 2025


Foderværdien og kvalitetsanalyser
Her vises den gennemsnitlige foderværdi for forskellige slæt for høståret 2025. Et slæt er med i tabellen, når der er minimum 20 prøver af det pågældende slæt.

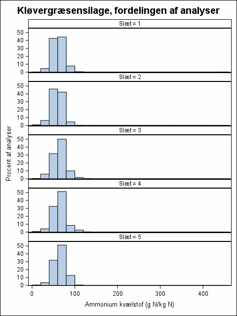
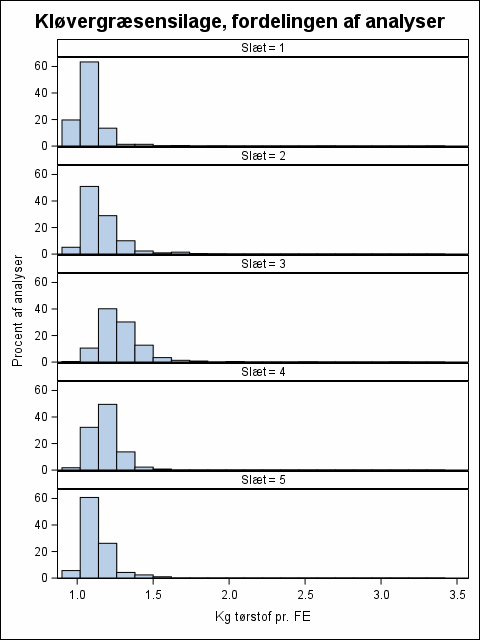
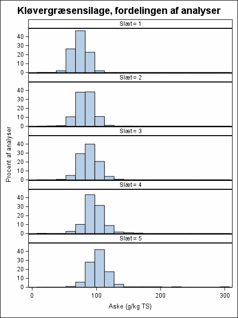
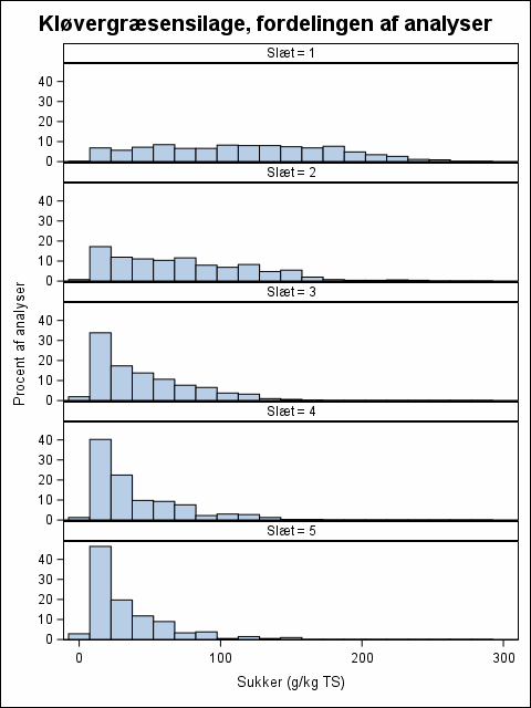
Hvis du klikker på den første kolonne i tabellen, kommer du ind og ser en figur, der viser en sammenligning mellem de forskellige slæt. I figurerne er også vist udviklingen i 2024 og 2023 til sammenligning. Hvis du klikker på den anden kolonne, kommer du ind og ser en figur, der sammenligner fordelingen af de forskellige næringstoffer i de forskellige slæt

Slæt

Første

Anden

Tredje

Fjerde

Femte

Antal prøver 854 571 543 410 214
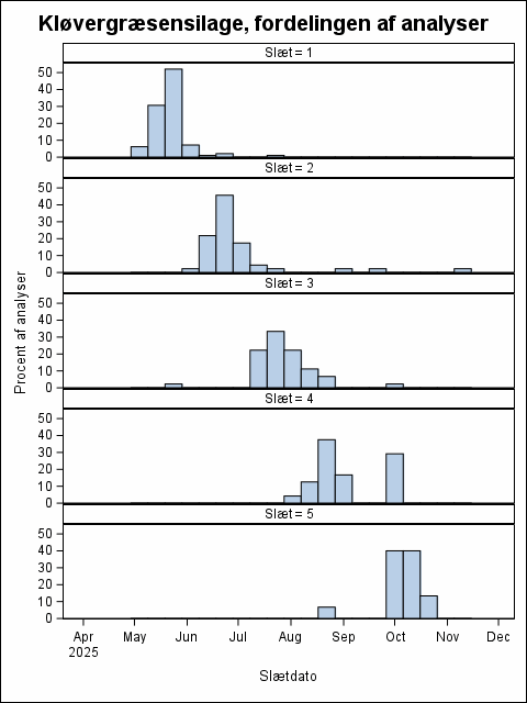
Slætdato 20/05 29/06 25/07 02/09 04/10
Tørstofindhold (g/kg) 392 388 379 347 313
Aske (g/kg TS) 74 83 89 97 105
Organisk stof fordøjelighed (%) 80,3 77,4 72,4 75,5 78,0
Råprotein (g/kg TS) 143 152 158 173 185
Opløselig råprotein (g/kg råprot.) 656 615 559 560 579
Ammonium kvælstof (g N/kg N) 62 59 64 64 65
Råfedt (g/kg TS) 32 33 34 37 40
NDF (g/kg TS) 394 419 443 395 370
FK NDF (%) 74,3 69,9 61,9 64,5 68,5
Ufordøjelig NDF (g/kg NDF) 119 148 197 186 169
Sukker (g/kg TS) 114 72 44 38 33
pH 4,3 4,3 4,4 4,3 4,2
Nitrat (g/kg tørstof) 2,9        
Mælkesyre (g/kg TS) 63 66 59 73 82
Eddikesyre (g/kg TS) 13 14 15 16 18
Tyggetid (Min./kg TS) 52 56 61 54 50
Fyldeværdi (FV/kg TS) 0,42 0,45 0,49 0,45 0,43
AAT20 (g/kg TS) 80 77 74 75 75
PBV20 (g/kg TS) 13 26 37 49 59
NEL20 (MJ/kg TS) 6,46 6,25 5,83 6,09 6,32
Kg tørstof pr. FEN 1,15 1,19 1,28 1,22 1,18
Kg pr. FEN 3,07 3,22 3,64 3,73 4,00
Tidligere fodervurderingssystem          
Kg tørstof pr. FE 1,09 1,16 1,29 1,18 1,12
Kg pr. FE 2,90 3,13 3,65 3,62 3,82
Fordøjelig råprotein (g/FE) 111 128 149 155 159

Mineralindhold
Her vises den gennemsnitlige mineralindholdet for forskellige slæt for høståret 2025. Et slæt er med i tabellen, når der er minimum 20 prøver af det pågældende slæt.

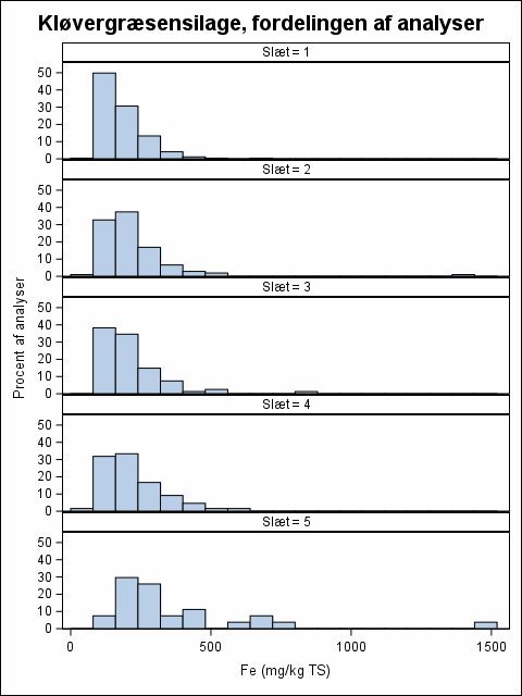
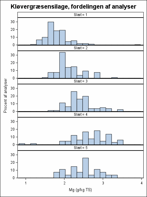
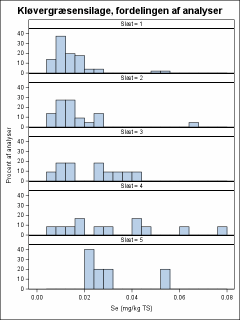
Hvis du klikker på den første kolonne i tabellen, kommer du ind og ser en figur, der viser en sammenligning mellem de forskellige slæt. I figurerne er også vist udviklingen i 2024 og 2023 til sammenligning. Hvis du klikker på den anden kolonne, kommer du ind og ser en figur, der sammenligner fordelingen af de forskellige næringstoffer i de forskellige slæt

Slæt

Første

Anden

Tredje

Fjerde

Femte

Antal prøver med mineraler 854 571 543 410 214
Ca (g/kg TS) 5,8 6,5 7,1 8,2 7,9
P (g/kg TS) 3,1 3,4 3,6 3,7 4,0
Mg (g/kg TS) 1,8 2,1 2,4 2,7 2,5
K (g/kg TS) 25,6 27,7 29,2 28,0 30,9
Na (g/kg TS) 3,4 3,6 3,1 3,5 3,3
Cl (g/kg TS) 9,7 12,3 13,2 13,3 12,4
S (g/kg TS) 2,3 2,7 2,9 3,0 3,0
CAB meq/kg TS 380 347 329 302 397
Fe (mg/kg TS) 181 213 204 219 360
Mn (mg/kg TS) 62 74 78 69 64
Zn (mg/kg TS) 32 36 35 35 34
Cu (mg/kg TS) 4,57 5,44 5,74 6,43 6,82
Se (mg/kg TS) 0,01 0,02      

Gå tilbage til:
Oversigten over alle ensilagetyper
Oversigten over alle græsmarksafgrøder samt sammenligning mellem slæt

Forfattere